一体化V锥式流量计
介绍
V锥流量计又称内锥流量计、V锥、锥形流量计,是一种具有专利技术的新型差压流量计,和其它类型的差压流量计的基本原理相同,都是基于密封管道中的能量守恒原理,SL系列V锥流量计的独特设计,扩大了流量测量范围,并避免了传统差压流量计的一些局限性,工作性能更优。SL系列V锥流量计是在管道中心悬挂一个锥形截流件,锥形件阻碍介质流动,重塑流速曲线,测量介质包括水、蒸汽、空气、天然气、氮气、焦炉煤气和有机气体等。介质条件可从深低温到超临界状态。工作温度最高450℃,最大压力25Mpa,可测量最高雷诺数为5*106.最低雷诺数为8*103甚至更低。产生满刻度差压信号从最低小于0.1 千帕到最高几十千帕。
工作原理
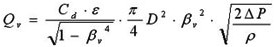
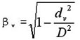
SL系列V锥流量计是一种差压流量仪表,迄今为止以差压原理设计的流量仪表已经有一百多年的应用历史了。差压原理是基于密封管道中的能量转换原理,也就是说对稳定流体,流量与管道中介质流速的平方根成正比。当介质接近锥体时,其压力为P1.在介质通过锥体的截流区时,速度增大,压力降低为P2.P1和P2都通过锥形流量计的取压口引到差压变送器上,当流速发生变化时,锥形流量计的两个取压口之间的差压值会增大或缩小。
特点
流量计精度:±0.5%、±1.0%、±1.5%系统精度须参照应用条件及二次表的精度。
重复性好:优于±0.1%
量程比宽:正常情况下为10:1.若有必要也可加大。
直管段要求低:流量计前0~3D 直管段、后0~1D 直管段即可保证测量精度。实验证明,V锥流量计可以接近单弯管或不同平面的双弯管而对精度影响很小。
长期稳定性好:锥体的外形设计保证流体在流经锥体时是一种渐变的过程,无突变,β值可保持长期不变,仪表可长期使用不需标定。
信号稳定:所有差压流量计都会有“信号波动”,也就是说即使流体非常稳定,通过一次节流元件产生的信号也会有波动。对孔板而言,在节流件后形成的旋涡较长,这些长的旋涡会产生高幅、低频波动信号,这些信号会对差压表的读数造成干扰。而锥形流量计会在其下游形成小旋涡,产生低幅、高频波动信号。
压损 小:由于没有突出的挡板,因此锥形流量计的永久压力损失比孔板低3/4.
无滞留死区:锥体的“吹扫式”设计不存在死区,因此在锥体上不会堆积流体碎片、粘渣或杂质。
混合器作用:V 锥流量计的下游所产生的旋涡是短旋涡,可在下游将介质混合,因此,目前V锥形流量计在作为流量计工作的同时,还可在很多场合用做静态搅拌器,可迅速而充分的将介质搅拌均匀。
应用
介 质:煤气、天然气(包括含湿度5%以下)、各种碳氢化合物(包括含湿的HC气体)、各种稀有气体(氢、氦、氩、氧、氮等)、氯气、湿的氯化物气体、空气(包括含水、含SiO2粒子以及含其他悬浮物的空气)、烟道气、饱和蒸汽(含汽、水两相流)、过热蒸汽、水等。
条 件:从深冷到超临界状态,最高温度达450℃,最大压力25Mpa。
计 算:每一个锥形流量计都根据流体的性质、压力和温度用专门的软件进行计算。用户可根据自己的应用条件(所测介质的组份、温度、压力、管径、最大流量、常用流量、最小流量、准许最大压力损失)选择β值。
维 护:锥形流量计免维护,不需要定期维护和检定。
原理图
| ![]() |

产品选型
型 号 | 说 明 | |||||
SLLV | 锥形流量计 | |||||
| 代号 | 口径(mm) | ||||
| 15~3000 | DN15~DN3000mm | ||||
|
| 各部件材料材质 | ||||
| 代码 | 锥体 | 钢管 | 法兰 | ||
| A | SS304 | 20# | 20# | ||
| B | SS304 | 15CrMo | 15CrMo | ||
| C | SS304 | SS304 | 20# | ||
| D | SS304 | SS304 | SS304 | ||
| E | SS316L | SS304 | SS304 | ||
| G | SS316L | SS316L | SS316L | ||
| # | 其它材质 | ||||
| 代号 | 介质 | ||||
| 1 | 液体 | ||||
| 2 | 气体 | ||||
| 3 | 蒸汽 | ||||
| 4 | 高温介质 | ||||
| 代号 | 补偿形式 | ||||
| N | 不带压力、温度补偿 | ||||
| Q | 带压力、温度补偿输出 | ||||
| 代号 | 连接形式 | ||||
| L | 螺纹连接(适用于小口径) | ||||
| W | 法兰连接 | ||||
| 代号 | 压力等级 | ||||
| 0 | 0.25MPa | ||||
| 1 | 0.6 MPa | ||||
| 2 | 1.0 MPa | ||||
| 3 | 1.6 MPa | ||||
| 4 | 2.5 MPa | ||||
| 5 | 4.0 MPa | ||||
| 6 | 6.3 MPa | ||||
订货须知
订货时请详细提供以下数据:
(1)被测介质
(2)最大、常用、最小流量。
(3)工作压力、工作温度 、最高压力、最高温度
(4)介质密度、粘度
(5)管道材质、内径、外径
(6)现场管道敷设情况和局部阻力件形式。
一体化V锥流量计优点
SL系列V锥流量计在进行流量计算时所采用的计算公式同其他差压流量仪表相同,但其截流元件的独特设计,迫使管道中心的介质绕着锥体流动,与其他差压流量计相比这样有很多优点。我们可以借助理想状态流速曲线分布图来理解锥形流量计的性能。
管道中的流体没有受到任何干扰和阻碍,即是我们所说的理想流态,他的流速分布均匀,靠近管壁的流速几乎为零,管道中心的流速达到最大,靠近管壁的流速几乎为零,是由于管壁对介质的摩擦力造成的。
由于锥体悬挂在管线中心,他直接同流体的高速区接触,迫使高速区的流体同近管壁低速区的流体相混合从而使流速均匀化。所以即使流速很低,锥形流量计仍能使流体与管道中心的最高流速连续作用产生正确差压。
现实中,流速很难分布均匀,管道上的任何变化都可能对流体造成影响,如:湾头、阀门、缩径、扩径、泵、三通等等,而锥形流量计利用锥体对上游的流速分布曲线重新进行塑造,即使在极为恶劣的情况下,仍能保证测量精度。
下一篇:没有了!
相关推荐
- 平衡孔板流量计哪家好
- 限流孔板技术协议
- 限流孔板进出口形状
- 限流孔板产品图
- 限流孔板分类及选型要点
- 双向毕托巴流量计
- 【限流孔板】常用取压方式
- 限流孔板在水泵出口的作用
- 限流孔板价格,限流孔板的怎么选型?
- 限流孔板是什么,限流孔板运用什么原理?
- 威力阿牛巴巴类流量计几大进口品牌
- 平衡流量计是否可用于贸易结算流量测量
- 限流孔板符号
- 一体化巴类流量计工作原理及安装方法
- 插入式巴类流量计都有哪些及厂家?
- 巴类流量计前后直管段要求和取压方式介绍
- 插入式巴类流量计怎样选差压传感器
- 在线巴类流量计说明书
- 一体化巴类流量计安装标准
- 插入式巴类流量计在安装管道上插入前操作
- 有哪些厂家做威力巴类流量计
- 插入式一体化巴类流量计起源由来
- 巴类流量计如何带反吹扫装置
- 巴类流量计之间区别方案






